Formula For Squaring A Binomial Full Library Video/Photo Free Link

Formula For Squaring A Binomial Full Library Video/Photo Free Link

Start Streaming formula for squaring a binomial unrivaled video streaming. No subscription fees on our entertainment center. Become absorbed in in a great variety of media put on display in flawless visuals, the best choice for top-tier streaming aficionados. With newly added videos, you’ll always have the latest info. Locate formula for squaring a binomial curated streaming in amazing clarity for a genuinely gripping time. Sign up for our video library today to get access to private first-class media with zero payment required, without a subscription. Experience new uploads regularly and navigate a world of original artist media crafted for elite media followers. Be sure not to miss unique videos—swiftly save now! See the very best from formula for squaring a binomial specialized creator content with lifelike detail and chosen favorites.

The square of a binomial is the sum of Fill in the blank space on the left The square of the first terms, twice the product of the two terms, and the square of the last term

Squaring a Binomial - Andrea Minini

I know this sounds confusing, so take a look In each case look at the right expression and think about how to write it either as a perfect square (as in the first and second binomial formula) or a product of a sum and difference, as in the third binomial formula If you can remember this formula, it you will be able to evaluate polynomial squares without having to use the foil method

Square of a binomial rule

How to calculate the expansion of a binomial square, explanation with formula, demonstration, examples, and solved exercises. The square of a binomial calculator calculates the square of a binomial and solves the equation for the missing variable. Squaring a binomial the square of a binomial, (a + b)2, is a trinomial obtained by summing the square of the first term (a 2), the square of the second term (b 2), and twice the product of the two terms (2ab) $$ (a + b)^2 = a^2 + b^2 + 2ab $$ this is a general formula that also applies when one or both terms are negative

When calculating the double product (2ab), just remember to follow the. Squaring binomials is a fundamental algebra skill that can be quick and simple with the right approach. What is the difference between squaring a binomial and squaring a monomial Squaring a binomial involves multiplying a binomial expression (with two terms) by itself, resulting in a trinomial expression.

Squaring A Binomial | Educreations

An algebraic expression which contains exactly two terms is called binomial

The two terms in a binomial will either be addition or subtraction The square of the binomial (a + b) is (a + b) raised to the power 2 That is (a + b)2 since the exponent of (a + b) 2 is 2, we can write (a + b) twice and multiply to get the expansion of. Squaring binomials a binomial is an expression composed of two monomials (hence the prefix bi) that are connected by either a plus sign or a minus sign

So, how do we square a binomial Well, we've got a couple of options Expand and use foil use the formula a2 ±2ab+b2 Learn what a binomial squared is, how to expand or factor it in 5 easy steps with formulas, examples, and a table

Squaring a Binomial Lesson Lesson Plan for 9th - 10th Grade | Lesson Planet

Today we are going to continue with our topic on binomial

As you can see this question is of squaring the binomial squaring This involves expanding a binomial squared, which is a fundamental algebraic operation We will use the algebraic identity for squaring a binomial of the form (a− b)2 Applying the binomial square formula the formula for squaring a binomial of the form (a− b)2 is a2 − 2ab +b2.

The correct formula for squaring a binomial of the form (a+ b)2 is given by the algebraic identity (a+ b)2 = a2 + 2ab +b2 this formula states that when you square a binomial, you square the first term, add twice the product of the two terms, and then add the square of the second term Applying the formula to louise's problem This means we need to expand the given binomial

Squaring a binomial | PPT | Free Download

The expression is a square of a binomial, which can be expanded using the algebraic identity for squaring a binomial

Applying the binomial square formula the general formula for squaring a binomial is (a + b)2 = a2 + 2ab +b2 In our case, the expression is (−12 − n)2. Learn the bins conditions, the probability formula, calculating exact and cumulative probabilities, mean and standard deviation, and normal approximation with continuity correction. Explanation to square the binomial (3d + 5)2, we can use the formula for squaring a binomial, which is

(a+ b)2 = a2 + 2ab + b2 in this case, let A = 3d b = 5 now, we can apply the formula step by step (3d)2 = 9d2 calculate b2 52 = 25 calculate 2ab

Squaring a binomial | PPTX

2(3d)(5) = 30d now, combine all these results together

(3d + 5)2 = a2 + 2ab. Applying the binomial square formula to square a binomial of the form (a− b)2, we use the algebraic identity (a− b)2 = a2 − 2ab +b2 in our problem, a = w and b = 4. This involves expanding a binomial squared

We will use the algebraic identity for squaring a binomial to achieve this Applying the binomial square formula the general formula for squaring a binomial of the form (a+ b)2 is a2 + 2ab+ b2 In our given expression, (u +6)2, we can identify a = u and b = 6. Geometric explanation visualisation of binomial expansion up to the 4th power for positive values of a and b, the binomial theorem with n = 2 is the geometrically evident fact that a square of side a + b can be cut into a square of side a, a square of side b, and two rectangles with sides a and b.

Squaring a Binomial - Andrea Minini

This problem involves expanding a binomial squared

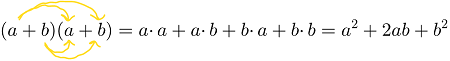
The general formula for squaring a binomial of the form (a + b)2 is a2 +2ab + b2 This formula is a fundamental concept in algebra and is derived from multiplying the binomial by itself (a +b)(a+ b) = a(a+ b) +b(a +b) = a2 + ab + ba+ b2 = a2 + 2ab +b2 Applying the binomial square formula

This lesson focuses on transforming perfect square binomials to perfect square trinomials and vice versa However, the power of the binomial formulas arises from being able to read them from right to left Some examples will illustrate this

Squaring a Univariate Binomial | Algebra | Study.com
MATH BINGO_Squaring Binomial Expressions by Make Math More Engaging
MATH BINGO_Squaring Binomial Expressions by Make Math More Engaging
MATH BINGO_Squaring Binomial Expressions by Make Math More Engaging
6. Using the formula for squaring a binomial, evaluate the following:(i)..